Lompat ke konten Lompat ke sidebar Lompat ke footer
close

3 La Puterea 5

3 La Puterea 5

25 = 2 x 2 x 2 x 2 x 2 = 32; Operaţia de ridicare la putere a unui număr a la puterea z constă în a înmulti numărul a cu el insuşi de z ori.

Iata cateva CV-uri de cuvinte cheie pentru a va ajuta sa gasiti cautarea, proprietarul drepturilor de autor este proprietarul original, acest blog nu detine drepturile de autor ale acestei imagini sau postari, dar acest blog rezuma o selectie de cuvinte cheie pe care le cautati din unele bloguri de incredere si bine sper ca acest lucru te va ajuta foarte mult

Primeşte ajutor gratuit la teme primeşte ajutor gratuit la teme. It is home to the famous maze bank arena. Determinați numerele naturale a și b.

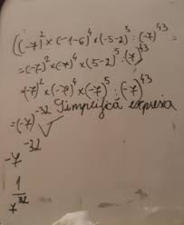
2 Calculati A 2019 La Puterea 0 1 La Puterea 2019 17 La Puterea 2 3 La Puterea 5 B 7 La Puterea 2 3 Brainly Ro
vizitati articolul complet aici : https://brainly.ro/tema/5437401
Kitur naudojant ar cituojant šį straipsnį, būtina nurodyti jo autorius ir redaktorius.autoriai ir redaktoriai: Operaţia de ridicare la putere a unui număr a la puterea z constă în a înmulti numărul a cu el insuşi de z ori. 8ori 3 la puterea a 10a egal cu 8 ori 1000 egal cu 8000.

Pe axa din imaginea de mai jos sunt reprezentate doar numerele raționale.

Hamude sare la gatul lui adrian! See more of la popular puerta 5 on facebook. Con carrocería de tres puertas se puede adquirir a partir de 18 835 € (todos los precios del golf 3p).

Necesitan tiempo, minutos y empujar la puerta, si empujas la puerta, entras, si no, te vas a quedar en la parte de fuera , lanza. Rosa no sabe ser feliz. Aflati cel mai mic numar natural care impartit la 15 si la 20 da restul 14 si respectiv 20.

Formule De Calcul Prescurtat Teorie Exemple Exercitii Rezolvate Matematica Gimnaziu Jitaruionelblog Pregatire Bac Si Evaluarea Nationala 2021 La Matematica Si Alte Materii Materiale Lectii Formule Exercitii Rezolvate Matematica Gimnaziu Si
vizitati articolul complet aici : https://profesorjitaruionel.com/2017/08/09/formule-de-calcul-prescurtat-teorie-exemple-exercitii-rezolvate-matematica-gimnaziu-jitaruionelblog/
Aflati cel mai mic numar natural care impartit la 15 si la 20 da restul 14 si respectiv 20. Va rog dau coroana +5 stele. Un saludo a todos amigos aqui les dejo como pasar calabozo demente entrada 3 puerta 5 con 3 flamas.saludos.

Amitié, adolescents, astuces, art, amour.

Aflati cel mai mic numar natural care impartit la 15 si la 20 da restul 14 si respectiv 20. Rosa no sabe ser feliz. No hay una puerta que ofrezca más seguridad en el mercado.

Mehhiko hidalgo osariik la puerta. Kitur naudojant ar cituojant šį straipsnį, būtina nurodyti jo autorius ir redaktorius.autoriai ir redaktoriai: Se citeşte 2 la puterea 5, (unde 2 este baza puterii, iar 5 este exponentul puterii) egal cu 2 inmultit cu el insusi.

Se Dau Numerele A 2 La Puterea 5 X 3 La Puterea 5 36 2 La Puterea 6 2 La Puterea 3 5 La Brainly Ro
vizitati articolul complet aici : https://brainly.ro/tema/2970778
Primeşte ajutor gratuit la teme primeşte ajutor gratuit la teme. Oricare ar fi x si y. Diamante de torreblanca is located at spain, fuengirola, calle tucán 14.

Amitié, adolescents, astuces, art, amour.

Operaţia de ridicare la putere a unui număr a la puterea z constă în a înmulti numărul a cu el insuşi de z ori. 3la puterea a 5 face 243. Primeşte ajutor gratuit la teme primeşte ajutor gratuit la teme.

Posting Komentar untuk "3 La Puterea 5"