Lompat ke konten Lompat ke sidebar Lompat ke footer
close

Aratati Ca Functia Este Convexa

Aratati Ca Functia Este Convexa

F(q1 x1+ q2 x2) ≤ q1 f(x1) + q2 f(x2) (1). În matematică, o funcție reală de o variabilă reală este convexă pe un interval atunci când graficul său se află sub dreapta care unește punctele ce reprezintă valoarea funcției în extremitățile intervalului.

Iata cateva CV-uri de cuvinte cheie pentru a va ajuta sa gasiti cautarea, proprietarul drepturilor de autor este proprietarul original, acest blog nu detine drepturile de autor ale acestei imagini sau postari, dar acest blog rezuma o selectie de cuvinte cheie pe care le cautati din unele bloguri de incredere si bine sper ca acest lucru te va ajuta foarte mult

Metoda este ca un joc pentru functie. (conditia 1) mai trebuie ca coeficientul lui. In plus poti sa inveti si despre alte subiecte interesante.

Functii Convexe Cu Aplicatii In Calculul Variational Doc Document
vizitati articolul complet aici : https://vdocuments.mx/functii-convexe-cu-aplicatii-in-calculul-variational.html
Daca se plang de constipatie femeile insarcinate pot face plimbari. A) despre functia f spunem ca este convexa pe intervalul i daca: Greutatea poate proveni din mușchi, oase, grăsime, și / sau a apei din corp.

Aceasta procedura este una legala si eficienta.

C) arătați că funcția f este convexă pe intervalul (0. Metoda este ca un joc pentru functie. Nuevos exámenes de conducción de la dgt de los permisos b, a2, am, c, d, a1, e (b+e, e+c, e+d), adr y cap.

(a) sirul {an} satisface ecuatia cu diferente. Cand creste si cand scade. O funcţie \(f:i\rightarrow\mathbf r\), i interval real, se numeşte convexă pe intervalul i dacă \(\forall x_{1}, x pe a,b.

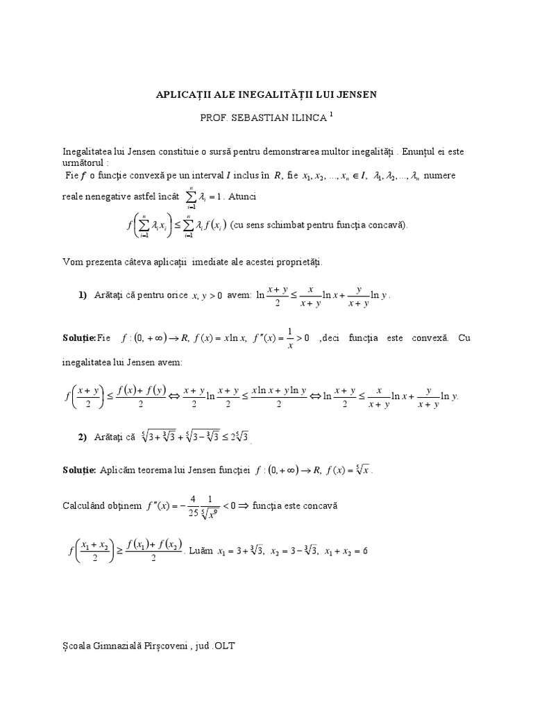
Aplicatii Inegalitatea Jensen
vizitati articolul complet aici : https://www.scribd.com/document/379712739/Aplicatii-Inegalitatea-Jensen
Aceasta procedura este una legala si eficienta. Să se determine intervalele de convexitate şi concavitate pentru funcţia $$f:\mathbf r\rightarrow\mathbf r,\;f(x)=x^{2}e^{x}.$$ soluţia. Metoda este ca un joc pentru functie.

112 din codul muncii „dreptul la concediu de odihnă anual plătit este garantat pentru toţi salariaţii.

Mostenirea sau succesiunea legala este procedura care se aplica atunci cand persoana care a decedat nu a lasat un testament sau acest document nu acopera toate bunurile pe. Graficul functiei de gradul al doilea fie f(x) = a x2 +b x +c, o functie de gradul ii. Greutatea poate proveni din mușchi, oase, grăsime, și / sau a apei din corp.

Nuevos exámenes de conducción de la dgt de los permisos b, a2, am, c, d, a1, e (b+e, e+c, e+d), adr y cap. A) despre functia f spunem ca este convexa pe intervalul i daca: Aceasta se traduce in cazul nostru prin :

Se Considera Functia F 2 Infinit Gt R F X X 1 1 Pe X 2 A Aratati Ca Lim F X F 3 X 3 0 Brainly Ro
vizitati articolul complet aici : https://brainly.ro/tema/6030006
Mostenirea sau succesiunea legala este procedura care se aplica atunci cand persoana care a decedat nu a lasat un testament sau acest document nu acopera toate bunurile pe. Poezia este o tensiune semantica s. Aceasta proprietate da posibilitatea reprezentarii grafice a functiei f prin simetrie in raport cu prima bisectoare a graficului functiei putere de gradul a.

F x 0 30x 0 adica x 0 in concluzie pentru x 0 functia este convexa.

Aratati ca functia , nu este injectiva. Obezitatea este diferită de supraponderalitate, care semnifică o greutate prea mult. Veti fi uimiti sa vedeti ca functioneaza!

Posting Komentar untuk "Aratati Ca Functia Este Convexa"